-
Audit
-
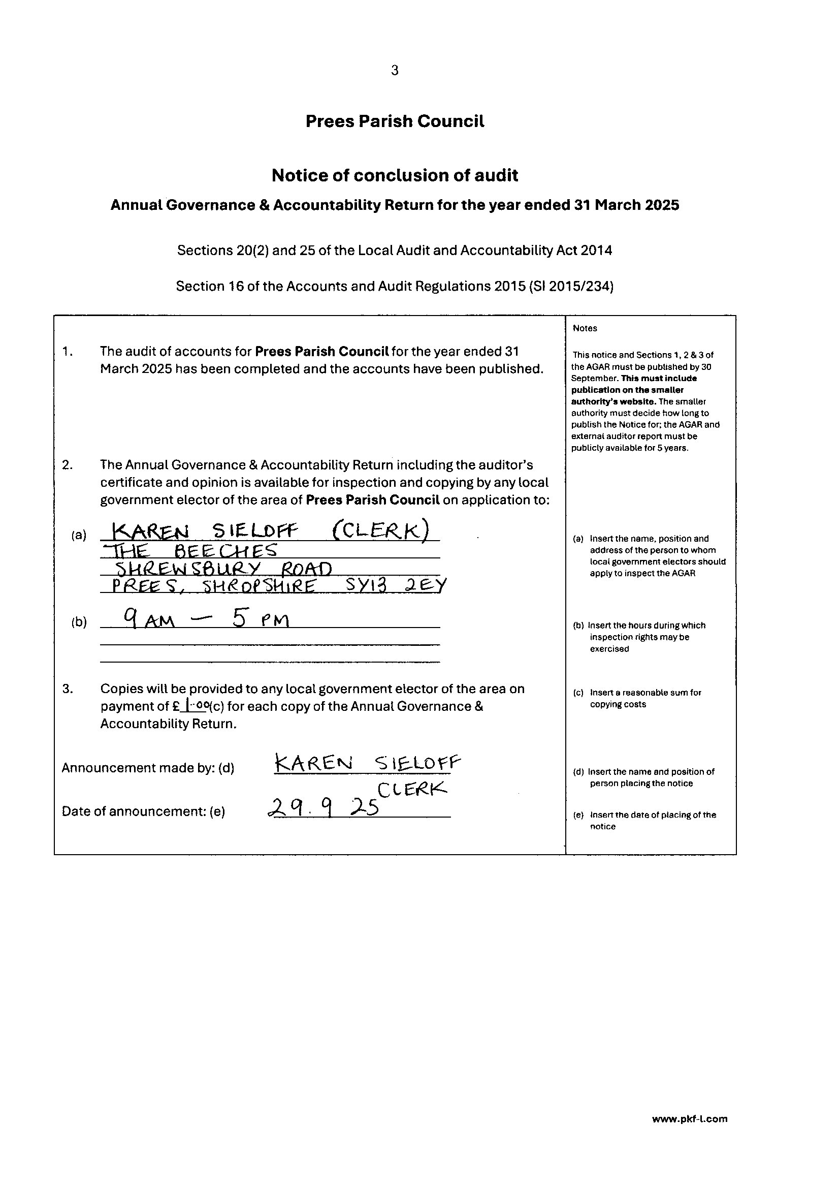
Audit for 2024-25 is concludedSeptember 2025-
-
-
Reports from Shropshire Councillor for Prees Ward Cllr Malcolm Myles-Hook
-
June 2025 Report to Prees PC from Cllr Malcolm Myles-HookJuly 2025-
-
-
-
Notice of Public Rights and Publication of Unaudited Annual Governance & Accountability Return 2024/25June 2025-
-
-
Audit
-
Notice of Public Rights and Publication of Unaudited Annual Governance & Accountability Return 2024/25June 2025-
-
-
Audit
-
Conclusion of Audit 2023-24September 202401/04/2023 - 31/03/2024
-
-
-
Audit 2021-2022September 202201/04/2021 - 31/03/2022
-
-
-
Accounting Statements2021/22June 2022-
-
-
-
Annual Governance Statement 2021/22June 2022-
-
-
-
Local Authority Accounts: A Summary of Your RightsJune 2022-
-
-
Audit
-
Notice of Public Rights and Publication of Unaudited Annual Governance and Accountbility ReturnJune 2022-
-
-
Audit
-
AGAR 2020-21 Part 3September 2021-
-
-
Audit
-
AGAR 2020-21 parts 1 and 2September 2021-
-
-
Audit
-
Notice of Conclusion of Audit 2020-21September 2021-
-
-
Report
-
Notice of Public Rights 2020August 2020-
-
-
Report
-
Summary of Rights 2020August 2020-
-
-
Audit
-
Internal Audit 2019-20August 2020-
-
-
Annual Report
-
Accounting statement 2019-20August 2020-
-
-
Annual Report
-
Annual Governance 2019-20August 2020-
-
-
Audit
-
Audit / Agar 2019September 201901/04/2018 - 31/03/2019
-
-
Audit
-
Summary of Rights 2018July 2019-
-
-
Report
-
Annual Internal Auditors 2019June 2019-
-
-
Annual Report
-
Accounting statement 2018-19June 201901/04/2018 - 31/03/2019
-
-
Annual Report
-
Annual Governance 2018-19June 201901/04/2018 - 31/03/2019
-
-
Report
-
Notice of Public Rights 2019June 2019-
-
-
Audit
-
Audit / Agar 2018September 2018-
-
-
Audit
-
Accounting statement 2017-18June 2018-
-
-
Audit
-
Annual Governance 2017-18June 201801/04/2017 - 31/03/2018
-
-
Audit
-
Summary of RightsJune 201804/01/2017 - 31/03/2018
-
-
Audit
-
Notice of Public RightsJune 201801/04/2017 - 31/03/2018
-
Reports and Audits
The Audit for the year financial year 2020-21 has just been concluded, and the associated documents can be found below.
Filter for Reports and Audits
Type
Type